Logo Přihlásit | Registrovat

Přihlášení


Registrace do programu DEKPARTNER

Přihlašovací údaje
Zaměření*
Kontaktní údaje

Zapomenuté heslo


Vzdělávací centrum

Termoprecipitace a její vliv na kvalitu povrchů fasád

Zveřejněno: 25. 6. 2010
Ing. Viktor Kaulich
DEK a.s., technik Stavebniny DEK, produktmanažer
Všechny články autora

Vizuální stav povrchu je první informace o konstrukci fasády a může napovědět o její technické kondici. Je možné sledovat různé změny povrchu, kterými se projevují problémy skryté pod ním. Případná vada konstrukcí pod povrchem se může projevit trhlinami, výkvěty solí, výskytem plísní nebo jiných organismů, vlhkými mapami, ale také usazením prachu na povrchu fasády

Usazeniny prachu na fasádě, třeba i opatřené kontaktním zateplovacím systémem, mohou prozradit uspořádání konstrukcí pod povrchem fasády. Majitelé domů se ptají, zda se jedná o vadu, a kdo ji způsobil. Předcházet propisování konstrukcí stavby na povrch fasády ve formě prachových usazenin lze předcházet již ve fázi projektu.
Prostor kolem nás tvoří především vzduch, který je plynným disperzním prostředím s podílem kapalných a pevných fází, organického a anorganického původu. Tato směs plynných, kapalných a pevných fází se nazývá aerosol a obklopuje nás všude. Její projevy jsou jak pozitivní, tak i negativní. V případě, že obsah prachových částí je vysoký, přináší potíže.

Náš životní prostor je také cyklicky ohříván, buď slunečními paprsky anebo umělými zdroji tepla – např. otopnými tělesy. Z toho logicky vyplývá, že některé objekty mohou mít teplotu vyšší a některé nižší v závislosti na čase a prostoru. Protože nemá v prostoru kolem nás vše stejnou teplotu, musíme na základě termodynamické rovnováhy (nultý termodynamický zákon) počítat se vznikem teplotního gradientu, který zpravidla způsobí pohyb celého aerosolu. Tímto pohybem bývá proudění nebo termodifúze či termoforéza, při kterých se částice pohybují ve směru klesající teploty. Při proudění je rychlost pohybu největší, jelikož k němu přispívá rozdíl tlaků. Termodifúze je prostup tepla přes pórovitou hmotu (v našem případě stavební materiál konstrukce) a termoforéza závisí jen na rozdílu teplot. Na teplejším místě získávají částice aerosolu více tepla a molekuly vzduchu větší kinetickou energii. Molekuly vzduchu více narážejí na částice v aerosolu a tak je posunují do chladnějšího místa. Pokud je chladnějším místem povrch nějakého tělesa, částice mu při nárazu na něj mohou své teplo a energii předat a pak zde dojde k jejich usazení. Tento děj se odehrává od teplotních rozdílů v řádech desetin stupně a nazývá se termoprecipitace. Na tomto principu se např. měří míra znečištění ovzduší, zkoumaný vzduch je veden na chladnější plochu, kde se usazují pevné částice, obsah prachu je pak určen hmotností usazených pevných částic vůči objemu vyšetřovaného vzduchu. Důsledkem termoprecipitace jsou třeba prachové mapy nad otopnými tělesy u stěn, ale také prokreslení spár, kotev nebo nosné konstrukce (systémových tepelných mostů) na vnitřní i vnější straně zejména obvodových stěn. Tepelný most je prvek s vyšší hustotou tepelného toku než je v jeho okolí. Je to vlivem materiálových charakteristik. Vlhkost a její kondenzace by v tomto případě vstoupila do hry při přechodu teploty těchto povrchů přes rosný bod dané relativní vlhkosti.

Termoprecipitaci můžeme pozorovat v interiéru i v exteriéru, ale projevy se trochu liší. V interiéru dochází k rychlejšímu a většímu zašpinění linií nad spárami zdiva nebo bodů nad připevněním obkladů ze sádrokartonových nebo sádrovláknitých desek. Jsou to tepelné mosty, které sice vyhovují na posouzení kritické teploty pro kondenzaci vlhkosti, ale jejich teplota povrchu v interiéru je přesto nižší než teplota okolních povrchů. Zde se ulpívání prachu projevuje především v zimním období, kdy je směr tepelného toku od interiéru do exteriéru a kdy je navíc nepříznivá relativní vlhkost a prašnost interiéru při vytápění.

V exteriéru se projevy různí. Obecně lze říci, že se více zašpiňují povrchy konstrukcí s vyšším tepelným odporem, tam je vnější povrchová teplota nižší. Prokreslení železobetonového skeletu pokrytého tepelněizolační vrstvou vůči výplňovému zdivu z cihel bude přesně opačné než prokreslení ocelové příhradové konstrukce vůči výplňové konstrukci z tepelněizolačního materiálu. Při tom obě obvodové stěny mohou mít požadované hodnoty součinitele prostupu tepla. Příčinou nestejnoměrného zašpiňování bude rozdíl teplot na povrchu. Rozdíly povrchových teplot budou vznikat jak při prostupu tepla z interieru, tak hlavně při změnách venkovních teplot nastávajících především při denním teplotním cyklu. V noci venkovní teplota klesne a ochladí se povrch fasády. Dochází k vyzařování tepla z konstrukce fasády radiací. Její teplota může klesnout ještě níže než teplota okolního vzduchu. Hmotné prvky jsou si schopny dle druhého termodynamického zákona předávat energii radiací i na velké vzdálenosti, například s Měsícem. V místě skladby s vyšší hustotou tepelného toku (tj. tepelný most) dochází k oteplování fasády z vnitřního prostoru a v době nárůstu venkovní teploty k snazšímu oteplení vrstev od exteriéru. Naopak v místech, kde je z vnější strany umístěn tepelný izolant, dochází k rychlejšímu vyzáření tepla vnějších vrstev ETICS. V této části se na oteplení méně podílí teplo z interiéru.

Poptat službu uvedenou v tomto článku

Z důvodu použití různých materiálů ve skladbách obvodové konstrukce pod omítkou dochází k odlišným tepelným tokům a nestejnoměrné změně teplot v ploše. Průběhy teplot v různých skladbách obvodových konstrukcí se mění různě rychle, stejně je tomu i u povrchové teploty. Čím déle bude trvat rozdíl teplot mezi některou částí povrchu a okolním vzduchem, tím déle bude docházet k usazování prachu na tomto povrchu. Fázový posun změny teploty lze určit z doby teplotní relaxace, z níž se vychází při výpočtech v rámci vyšetřování nestacionárního pole teplot a teplotní setrvačnosti.

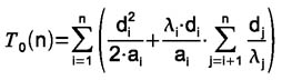
Doba teplotní relaxace popisuje, jak dlouhý časový interval bude trvat vyrovnání teplot dvou bodů v jednom směru uvažované konstrukce. Ve vztahu (01) je obecná definice doby teplotní relaxace Τ0, (02) popisuje vztah pro n vrstev a (03) je konkrétní pro dvě vrstvy.

Τ0 – doba teplotní relaxace [s]

di – tloušťka i-té vrstvy [m]

ai – součinitel teplotní vodivosti [m²/s] i-té vrstvy

λi – součinitel tepelné vodivosti [W/m.K] i-té vrstvy

Vztah pro získání součinitele teplotní vodivosti (04) vnáší do souvislostí s dobou teplotní relaxace také objemovou hmotnost a měrnou tepelnou kapacitu.

a – součinitel teplotní relaxace [m²/s]

ρ – objemová hmotnost [kg/m3]

c – měrná tepelná kapacita [J/kg.K]

Z uvedených vztahů vyplývá, že je doba teplotní relaxace přímo úměrná tloušťce vrstvy, objemové hmotnosti a měrné tepelné kapacitě materiálů. Nepřímo úměrná je součiniteli tepelné vodivosti. Podstatná je však evidentní závislost na pořadí vrstev konstrukce ve směru tepelného toku. Právě pořadí vrstev materiálů skladby konstrukce s různými tepelněfyzikálními vlastnostmi je rozhodující pro změny teplot v konstrukcích a na jejich površích (interiérových i exteriérových) v nestacionárním teplotním poli.

Pro lepší představu můžeme porovnat dvě různé skladby konstrukcí vyskytující se často u sebe v obálce budovy s nosným železobetonovým skeletem a s výplňovým zdivem. Doba relaxace konstrukce s nosným skeletem vychází 1098 hodin a součinitel tepelné vodivosti vyhovuje doporučeným hodnotám ČSN 73 0540 (tab. 01a). Výplňové zdivo má dobu relaxace 107,7 hodin a součinitel tepelné vodivosti také vyhovuje požadovaným hodnotám (tab. 01b). Z toho vyplývá, že konstrukce s nosným skeletem má lepší tepelně technické vlastnosti a přispívá vhodně k tepelné stabilitě interiéru, přesto je to právě ta konstrukce s nežádoucím zašpiněním.

Tab. 01a – Nosný skelet

Popis

d[m]

ρ[kg/m3]

 λ[W/m.K]

C[J/kg.K]

U[W/m2.K]

T0[hod]

Vnitřní omítka vápenná

0,010

1 600

0,870

840

-

-

ŽB nosný skelet

0,400

2 500

1,750

1 020

-

-

EPS

0,150

1 600

0,040

1 270

-

-

Konstrukce vnější omítky

0,010

1 600

0,800

850

-

-

Celek

0,570

-

-

-

0,250

1 098

Tab. 01b – Výplňové zdivo

Popis

d[m]

ρ [kg/m3]

λ [W/m.K]

C[J/kg.K]

U[W/m2.K]

T0[hod]

Vnitřní omítka vápenná

0,010

1 600

0,870

840

-

-

Porotherm 36,5 P+D

0,365

800

0,149

960

-

-

Konstrukce vnější omítky

0,010

1 600

0,800

850

-

-

Celek

0,385

-

-

-

0,380

107,7

V případě termoprecipitace je však důležité pozorovat a porovnávat relativně tenké vrstvy povrchů, které se nejvýrazněji podílí na výsledné povrchové teplotě. Například porovnáme-li vnějších 30 mm, dostaneme výsledky uvedené v tabulkách 02a a 02b. Hodnoty vycházejí samozřejmě nízké, ale rozdíl je mezi nimi šestinásobný. Déle se bude vyrovnávat teplota u skladby s porothermovými tvárnicemi. Ovšem toto je při směru tepelného toku z interiéru do exteriéru, například v topné sezóně. V letním období může naopak nastat opačný směr tepelného toku. Například před východem slunce, kdy je konstrukce a okolí nejchladnější, a pak se začne opět ohřívat, ovšem od exteriéru. Výsledky jsou uvedené v tabulkách 03a a 03b.

Tab. 02a

Popis

d[m]

ρ [kg/m3]

λ [W/m.K]

C[J/kg.K]

T0[hod]

Porotherm 36,5 P+D

0,020

800

0,149

960

-

Konstrukce vnější omítky

0,010

1 600

0,800

850

-

Celkem

0,030

-

-

-

0,36

Tab. 02b

Popis

d[m]

ρ [kg/m3]

λ [W/m.K]

C[J/kg.K]

T0[hod]

 EPS

0,020

20

0,040

1 270

-

Konstrukce vnější omítky

0,010

1 600

0,800

850

-

Celkem

0,030

-

 -

 -

0,06

Tab. 03a

Popis

d[m]

ρ [kg/m3]

λ [W/m.K]

C[J/kg.K]

T0[hod]

 Konstrukce vnější omítky

0,010

1 600

0,800

850

 -

 Porotherm 36,5 P+D

0,020

800

0,149

960

 -

Celkem

0,030

 -

 -

 -

0,92

Tab. 03b

Popis

d[m]

ρ [kg/m3]

λ [W/m.K]

C[J/kg.K]

T0[hod]

 Konstrukce vnější omítky

0,010

1 600

0,800

850

-

EPS

0,020

1 600

0,040

1 270

 -

Celkem

0,030

 -

 -

 -

2,36

Zde vidíme, že je doba relaxace části konstrukce se zateplením nosného skeletu naopak cca 2,5 krát delší. Ze všech uvedených kombinací vyplývá, že se konstrukce s nosným skeletem pomaleji prohřeje od tepla interiéru, ale také od tepla z exteriéru. Z rozdílných dob vyrovnání teploty vzniká časový prostor s rozdílnými teplotami povrchů a to je potenciál pro usazování prachových částic termoprecipitací.

Na fotografiích 02 až 05 a 07 můžeme pozorovat termoprecipitací odhalené odlišné tepelné toky obvodovou konstrukcí bytového domu v Praze. Jedná se o severní fasádu, kde nedochází k přímému oslunění. Zde může každý sám vidět, kde jsou plochy fasády více zatepleny a kde méně a může nám předběžně napovědět o výsledcích termovizního měření. Zašpiněné plochy jsou ty s vyšším tepelným odporem, tzn. paradoxně s lepšími tepelně technickými parametry a méně zašpiněné plochy jsou ty, kterými z domu uniká více tepla.

Foto 02, 03 – Výrazné zašpinění ETICS prachem podle nosné konstrukce

K fotografiím 05 a 07 jsou přirazeny snímky termovizního měření provedeného v letním období, tzn. bez vlivu vytápění (foto 06 a 08). Termovize potvrzuje nižší teploty zašpiněných povrchů zatepleného nosného skeletu.

Foto 05, 07 – Prokreslení nosného skeletu na povrchu fasády zašpiněním

Foto 06, 08 – Termovize potvrzuje nižší teploty zašpiněných povrchů zatepleného nosného skeletu

Při větších rozdílech povrchových teplot a pohybu teplot kolem rosného bodu, vstupuje do prostředí také zkondenzovaná vlhkost. Ke kondenzaci vzdušné vlhkosti dochází také na chladnějších plochách jako dochází k termoprecipitaci. Kondenzát může mít následně projevy namrzání nebo i rozvoj biologické koroze. Ze stejného důvodu se tvoří námrazy i na zasklení otvorů kvalitními skly s nízkým součinitelem prostupu tepla. Čím kvalitnější skla oken, tím mohou být za srovnatelných podmínek na exteriérové straně více namrzlá. Na příkladu fasády rodinného domu v Praze Chodově můžeme vidět, že je tomu tak i u skladeb obvodových plášťů (foto 09).

Rozdíly povrchových teplot na plochách fasády jsou jednoznačně způsobeny odlišnými materiály použitými pod vnější vrstvou obvodového pláště. I malé rozdíly v teplotách povrchu se projeví rozdílným žašpiněním. Míra zašpinění je hodně závislá na stavu ovzduší v místě stavby. Termoprecipitaci jako fyzikální jev citlivý i na malé diference teplot nemůžeme zcela eliminovat, můžeme ale snížit její míru především návrhem takové konstrukce, která zajistí stejné teploty v celé ploše povrchu fasády. K ověření může pomoci projektantovi výpočet doby teplotní relaxace. Řešením je větraný fasádní obklad fasády nebo souvislý VKZS s kotvami zakrytými zátkami z tepelného izolantu nebo skrytými pod ním.

Foto: Luboš Káně, Jiří Tokar, Luboš Halfar, Viktor Kaulich, Alexandra Michaličková

Poptat službu uvedenou v tomto článku

PODKLADY

[1] Termodifuze a její projevy na ETICS s vyšší tloušťkou izolantu; Ing. Jan Loukotka, Ing. Gerfard Enzenberger; Stavební ročenka 2009, JAGA, Bratislava

[2] Výklad pojmů dostupný na vydavatelství.vscht.cz

[3] tpm.fsv.cvut.cz

[4] Akumulace sluneční energie do stavebních konstrukcí; Ing. Michal Kabrhel; tzb-info.cz

[5] ČSN 73 0540 – Tepelná ochrana budov

Partneři programu