Logo Přihlásit | Registrovat

Přihlášení


Registrace do programu DEKPARTNER

Přihlašovací údaje
Zaměření*
Kontaktní údaje

Zapomenuté heslo


Vzdělávací centrum

Podlahy z pohledu kročejové neprůzvučnosti

Zveřejněno: 20. 4. 2010
Ing. Jan Pešta
DEKPROJEKT s.r.o., vedoucí oddělení
Všechny články autora
Ing. Viktor Zwiener, Ph.D.
DEKPROJEKT s.r.o., vedoucí specialista
Všechny články autora

Nadměrný přenos kročejového zvuku je častým důvodem stížností uživatelů u bytů především v moderní výstavbě. Z pohledu kročejové neprůzvučnosti je nutné řešit nejen skladbu podlahy v její ploše, ale také v detailech napojení na související konstrukce, které mohou mít na výslednou kročejovou neprůzvučnost rozhodující vliv. Řešení detailu napojení podlahy na navazující svislou konstrukci má významný vliv jak na kročejovou neprůzvučnost místností nad sebou, tak také na místnosti v rámci jednoho podlaží.

Kročejova neprůzvučnost v legislativě

Kročejová neprůzvučnost je definována jako vlastnost stropní konstrukce vzdorovat přenášení hluku vznikajícího mechanickými rázy na konstrukci (chůze, pád tělesa, provoz strojů apod.). Kročejová neprůzvučnost se vyjadřuje váženou normalizovanou hladinou akustického tlaku kročejového zvuku L´n,w v decibelech (dB).

Dle platné české legislativy je dodržení požadované kročejové neprůzvučnosti závazné. Tento požadavek je uveden ve Vyhlášce 268/2009 Sb. Požadované hodnoty kročejové neprůzvučnosti jsou pro jednotlivé sousedící typy místností uvedeny v ČSN 73 0532. V únoru 2010 vyšlo revidované znění této normy ČSN 73 0532:2010. Oproti předchozí podobě normy došlo ke zpřísnění požadavků na vzduchovou i kročejovou neprůzvučnost a ke zpřesnění výkladu některých pojmů. Požadavky na kročejovou izolaci mezi místnostmi jsou uvedeny v tab. 01.

Tab 01 – Požadavky na zvukovou izolaci mezi místnostmi

Prostor 

Požadovaná hodnota6) [dB]

Chráněný prostor

Bytové domy, rodinné domy - nejméně jedna obytná místnost bytu

Hlučný prostor

Všechny ostatní místnosti téhož bytu

63 (68)

Chráněný prostor

Bytové domy – obytné místnosti bytu

Hlučný prostor

Všechny místnosti druhých bytů, včetně příslušenství

55 (58), 581)

Společné prostory domu (schodiště, chodby, terasy, kočárkárny, sušárny, sklípky apod.) 

55 (58)

Průjezdy, podjezdy, garáže, průchody, podchody

48

Místnosti s technickým zařízením domu (kotelny, strojovny, prádelny apod.) s hlukem

LA,max ≤ 80 dB
80 dB < LA,max ≤ 85 dB

482)

482)

Provozovny s hlukem LA,max ≤ 85 dB

s provozem nejvýše do 22:00 h
s provozem i po 22.00 h

53

48

Provozovny s hlukem 85 dB < LA,max ≤ 95 dB s provozem i po 22:00 h

383)

Chráněný prostor

Terasové nebo řadové rodinné domy a dvojdomy – obytné místnosti bytu

Hlučný prostor

Všechny místnosti v sousedním domě

48 (53)

Chráněný prostor

Hotely a zařízení pro přechodné ubytování – ložnicový prostor ubytovací jednotky

Hlučný prostor

Všechny místnosti druhých jednotek

58

Společně užívané prostory (chodby, schodiště)

58

Restaurace a jiné provozovny s provozem do 22:00 h

53

Restaurace a jiné provozovny s provozem i po 22:00 h (LA,max ≤ 85 dB)

48

Chráněný prostor

Nemocnice, zdravotnická zařízení – lůžkové pokoje, ordinace, operační sály apod.

Hlučný prostor

Lůžkové pokoje, ordinace, vyšetřovny, operační sály, komunikační a pomocné prostory

58 (63)

 

Hlučné prostory (kuchyně, technická zařízení) LA,max ≤ 85 dB

48

Chráněný prostor

Školy a vzdělávací instituce – učebny, výukové prostory

Hlučný prostor

Učebny, výukové prostory

58 (63)

 

Společné prostory, chodby, schodiště

58 (63)

 

Hlučné prostory (dílny, jídelny) LA,max ≤ 85 dB 

48 

 

Velmi hlučné prostory (hudební učebny, dílny, tělocvičny) LA,max ≤ 90 dB 

484)

Chráněný prostor

Administrativní a správní budovy, firmy – kanceláře a pracovny

Hlučný prostor

Kanceláře a pracovny s běžnou administrativní činností, chodby, pomocné prostory

63 (68) 

Kanceláře a pracovny se zvýšenými nároky, pracovny vedoucích pracovníků5) 

58 (63)

Kanceláře a pracovny pro důvěrná jednání nebo činnosti vyžadující vysokou ochranu5)

58 

  1. Požadavek se vztahuje pouze na starou, zejména panelovou výstavbu, pokud neumožňuje dodatečná opatření.

  2. Kromě splnění požadavků mohou být nutná další opatření, kdy je nutné stroje a zařízení uložit, zavěsit či upravit tak, aby nedocházelo k šíření a přenosu zvuku konstrukcí (vibracemi) a instalacemi (rozvody, médii, šachtami aj.) a k překročení hygienických limitů hluku ve vnitřních chráněných prostorech. V prokázaných případech, kdy zařízení nebude zdrojem hluku a vibrací, lze požadavky snížit o 5 dB. V opodstatněných případech se doporučuje provést předběžné posouzení ve studii.

  3. Kromě splnění požadavků mohou být nutná další opatření, kdy je nutné stroje a zařízení uložit, zavěsit či upravit tak, aby nedocházelo k šíření a přenosu zvuku konstrukcí (vibracemi) a instalacemi (rozvody, médii, šachtami aj.) a k překročení hygienických limitů hluku ve vnitřních chráněných prostorech. Místnosti s provozním hlukem s dominantním obsahem nízkých kmitočtů nebo s tónovými složkami (např.: hlučné strojovny, diskotéky apod.) se zásadně nedoporučuje situovat do blízkosti bytových jednotek. Zejména přenos nízkých kmitočtů nelze v běžných obytných budovách účinně omezit. V odůvodněných případech je nezbytné provést posouzení ve studii. Provozovny s hlukem LA,max > 95 dB se nemají umisťovat do obytných budov.

  4. Vzhledem k možnému přenosu nízkých kmitočtů mohou být nutná další opatření. Vyžaduje individuální posouzení.

  5. Požadavky platí rovněž mezi uvedenými pracovnami a přilehlými chodbami, popř. pomocnými prostory.

  6. v závorkách jsou uvedeny požadované hodnoty podle normy platné do února 2010, tedy ČSN 73 0532:2000. 

Z tabulky je zřejmé, že v řadě případů došlo ke zpřísnění požadavků. Požadavek pro obytnou místnost v rámci bytu byl zaveden z dřívějšího doporučení. Tyto skutečnosti kladou zvýšené nároky na navrhování dělicích konstrukcí, protože některé zavedené skladby se v některých případech staly z hlediska zvukové izolace nevyhovující.

Poptat službu uvedenou v tomto článku

Navrhování skladeb podlah z hlediska kročejové neprůzvučnosti

Skladba podlahového souvrství a vodorovných konstrukcí obecně by měla být navrhována s ohledem na kročejovou i vzduchovou neprůzvučnost. U železobetonových stropních desek je vzduchová neprůzvučnost zajištěna především samotnou stropní deskou. Mezi váženými hodnotami vzduchové neprůzvučnosti a normalizované hladiny kročejového zvuku platí u samotných železobetonových desek nepřímá úměra stanovená přibližně:

Lnw ≈ 135 – Rw [dB]

kde

Lnw je normalizovaná hladina kročejového zvuku [dB]

Rw je laboratorní vzduchová neprůzvučnost [dB]

Při pohledu na normové požadavky na zvukovou izolaci například mezi dvěma byty (R´w = 53 dB; L´n,w = 55 dB) je jasné, že pouze jednoduchá stropní deska je nedostačující (Lnw = 135 – 53 = 82). Z tohoto důvodu je nutné u konstrukcí, jež mají účinně tlumit kročejový hluk, vložit pružnou mezivrstvu. Proto se používá známý princip plovoucí podlahy, kdy je na nosnou konstrukci položena pružná vrstva, na kterou je provedena tuhá roznášecí vrstva. Podle použití roznášecí vrstvy se plovoucí podlahy dělí na lehké a těžké.

U lehkých plovoucích podlah se pro roznášecí vrstvu používají desky na bázi dřeva nebo jiné desky suché výstavby (sádrovláknité desky, sádrokartonové desky). Desky se mají klást alespoň ve dvou vrstvách se vzájemnou převazbou spár. Výhodou této varianty je její nižší hmotnost z hlediska statického a výstavba bez mokrého procesu. Nevýhodou lehké plovoucí podlahy je ale její nižší účinnost oproti těžkým plovoucím podlahám, která je zapříčiněná právě nižší hmotností.

Druhou variantou je zmiňovaná těžká plovoucí podlaha. Zde se jako roznášecí vrstva používá betonová mazanina nebo lité podlahové potěry. Pro těžké plovoucí podlahy má být plošná hmotnost roznášecí vrstvy nejméně 75 kg/m2. Tato podmínka je splněna například při objemové hmotnosti materiálu desky 2 000 kg/m3 a tloušťce desky nejméně 37,5 mm. Při pokládce lité směsi nebo mazaniny je nutné chránit pružnou vrstvu před zatečením pokládané směsi ochrannou vrstvou. Jako ochranná vrstva se obvykle používá polyetylenová folie, která má mít slepené spoje. V případě, že zateče pokládaná směs do pružné vrstvy, může dojít k výraznému snížení kročejové neprůzvučnosti stropu oproti projektovanému stavu. Oprava tohoto problému představuje vybourání podlahového souvrství a jeho nové provedení. Výhodou těžkých plovoucích podlah je jejich vyšší účinnost oproti lehkým plovoucím podlahám, nevýhodou pak především mokrý proces související s nutnou dobou zrání a rizikem zatečení směsi do izolační vrstvy.

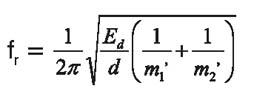
Společným prvkem obou uvedených typů podlah je izolační vrstva. Jako kročejová izolace se používají především desky z minerálních vláken, elastifikovaný polystyren, napěněný polyetylen a dřevovláknité desky. Pro lehké plovoucí podlahy se používají materiály s vyšší tuhostí, pro těžké plovoucí podlahy je naopak možné používat izolace pružnější. Kročejovou izolaci je nutné volit s ohledem na rezonanční kmitočet podlahového souvrství, protože je okolo něj účinnost plovoucí podlahy výrazně nižší než v ostatních kmitočtech. Na rezonanční kmitočet má vliv především dynamická tuhost kročejové izolace, její tloušťka a plošná hmotnost roznášecí a nosné konstrukce stropu (uplatňuje se především vliv lehčí z obou konstrukcí). Rezonanční kmitočet souvrství je možné určit ze vztahu:

kde

Ed je modul pružnosti v tlaku materiálu izolační vrstvy [Pa]

d je tloušťka vzduchové vrstvy [m]

m1´a m2´ jsou plošné hmotnosti dílčích konstrukcí [kg/m2]

Rezonanční kmitočet by neměl ležet ve zvukově izolační oblasti, kterou tvoří šestnáct třetinooktávových pásem se středními kmitočty od 100 Hz do 3 150 Hz. Je vhodné, aby rezonanční kmitočet ležel v oblasti fr < 70 Hz. Především u lehkých plovoucích podlah však nemusí být reálné tohoto dosáhnout. Proto také mají nižší účinnost ve srovnání s těžkými plovoucími podlahami. Pro dosažení požadované funkčnosti plovoucí podlahy je nutné zajistit pružné oddělení nejen v ploše stropní konstrukce, ale i po obvodu roznášecí desky a u všech případných prostupů roznášecí deskou. Pružné oddělení se provádí okrajovým izolačním páskem v celé tloušťce roznášecí desky i nášlapné vrstvy. Izolační pásek je samozřejmě nutné také chránit ochrannou vrstvou při pokládání směsi roznášecí vrstvy. Tloušťka použitého izolačního pásku má být navrhována i s ohledem na objemové změny roznášecí desky vlivem teplotní roztažnosti a případných dalších dilatačních pohybů. Při zohlednění možných dilatačních pohybů roznášecí desky a stlačitelnosti pásku je nutné pro zachování jeho pružných vlastností ponechat určitou rezervu v jeho tloušťce.

Pružný izolační pásek se vkládá také do spár roznášecí desky mezi dvěma místnostmi. V případě, kdy není spára mezi místnostmi provedena, bude mezi těmito místnostmi docházet k horizontálnímu přenosu kročejového zvuku přímo roznášecí deskou podlahy. Pokud je mezi dvěma místnostmi stanoven požadavek na kročejovou neprůzvučnost, je nutné vždy provést v podlahovém souvrství dilatační spáru zamezující přímému styku podlahových souvrství.

Příklady chybných realizací podlah

Na následujících dvou příkladech bytových domů ukážeme vliv správného řešení detailů okrajové izolace podlahového souvrství na horizontální přenos kročejového zvuku.

PŘÍKLAD 1

Řešili jsme příčiny přenosu kročejového hluku ze společné domovní chodby se schodištěm přes jednu ze stěn do bytu na stejném podlaží. Měření bylo provedeno na základě stížnosti uživatele bytu. Naměřený průběh hodnot kročejové neprůzvučnosti je uveden v grafu na obr. 01 (křivka „před opravou“).

Měřením byla zjištěna kročejová neprůzvučnost mezi uvedenými místnostmi L´nT,w = 74 dB. Tato hodnota výrazně převyšuje požadovanou hodnotu L´nT,w = 58 dB (dle tehdy platné ČSN 73 0532:2000). Na základě výsledků měření byla provedena sonda, která odhalila, že roznášecí a nášlapná vrstva podlahy chodby nejsou pružně odděleny od navazující stěny (obr. 02).

Oprava tedy spočívala v odsekání podlahového souvrství od stěny podél stěny bytu a vložení pružného pásku do spáry. Po opravě bylo provedeno opakované měření kročejové neprůzvučnosti pro ověření účinnosti (v grafu na obr. 01 křivka „po opravě“). Měřením byla zjištěna kročejová neprůzvučnost mezi uvedenými místnosti L´nT,w = 60 dB. Provedenou opravou bylo dosaženo zlepšení o 14 dB ve vážené hodnotě neprůzvučnosti. Z grafu je zřejmé, že opravou uvedené vady bylo dosaženo zvýšení kročejové neprůzvučnosti ve všech hodnocených kmitočtových pásmech. Většího zlepšení bylo dosaženo na středních a vyšších kmitočtech. Z grafů je rovněž patrné, že o vážené hodnotě kročejové neprůzvučnosti rozhodují právě hodnoty ve vyšších kmitočtových pásmech (rozhodující jsou kladné rozdíly mezi naměřenými hodnotami a hodnotami na směrné křivce), proto je důležité dosažení zvýšení neprůzvučnosti především na těchto kmitočtech. Průběh hladiny akustického tlaku kročejového zvuku s dominantními vyššími kmitočty obvykle ukazuje na pevné propojení s navazující konstrukcí a přenos hluku tímto propojením. Navíc i po opravě je naměřená hodnota mírně vyšší než hodnota požadovaná. Odsekání podlahového souvrství nebylo provedeno po celém obvodu podlahy. V některých složitých detailech ve styku s nosnou železobetonovou konstrukcí objektu bylo ponecháno pevné spojení (schodišťová ramena, výtahová šachta), kterým pravděpodobně stále dochází k přenosu kročejového hluku do nosné konstrukce objektu.

PŘÍKLAD 2

Ve druhém případě obytná místnost přímo nesousedí se společnou chodbou, ale oba prostory jsou odděleny předsíní bytu. Naměřený průběh hodnot kročejové neprůzvučnosti je uveden v grafu na obr. 03.

Měřením byla zjištěna kročejová neprůzvučnost mezi uvedenými místnostmi L´nT,w = 69 dB. Tato hodnota také výrazně převyšuje požadovanou hodnotu L´nT,w = 58 dB. Při konzultaci s realizační firmou bylo zjištěno, že při provádění podlahových souvrství nebyla pravděpodobně provedena spára v úrovni vstupních dveří do bytu, což se následně potvrdilo sondou. Oprava spočívala v dodatečném prořezání spáry mezi podlahovým souvrstvím chodby a předsíni a oddělení roznášecí desky v okolí dveřních zárubní obr. 04. Po opravě bylo provedeno opakované měření kročejové neprůzvučnosti pro ověření účinnosti (graf na obr. 03). Měřením byla zjištěna kročejová neprůzvučnost L´nT,w = 49 dB. Opravou tedy bylo dosaženo zlepšení o 20 dB ve vážené hodnotě neprůzvučnosti. Došlo ke snížení hladiny akustického tlaku kročejového zvuku ve všech sledovaných kmitočtových pásmech. Výraznějšího zlepšení je dosaženo na středních a vyšších kmitočtech, obdobně jako v příkladě 1 přibližně od pásma se středním kmitočtem 250 Hz. Opravy vedly k výraznému zlepšení kročejové neprůzvučnosti a ke snížení pod požadovanou hodnotu.

Závěr

Problematika přenosu kročejového hluku mezi místnostmi v horizontálním směru je bohužel někdy opomíjena. Jak ukázaly uvedené dva příklady, může mít chybný návrh nebo provedení zásadní vliv na užitnou hodnotu bytů. K přenosu kročejového hluku může docházet jak mezi přímo sousedícími prostory, tak také mezi prostory oddělenými další místností. Oprava může být velice nákladná a v některých případech obtížně realizovatelná (např. napojení podlahy u schodiště a výtahové šachty jako v příkladu 1). Ve fázi návrhu tak lze doporučit konzultovat řešení se zkušeným akustikem.

Poptat službu uvedenou v tomto článku

PODKLADY

[1] ČSN 73 0532:2000 Akustika – Ochrana proti hluku v budovách a související akustické vlastnosti stavebních výrobků – Požadavky + Změna Z1: 2005
[2] ČSN 73 0532: 2010 Akustika – Ochrana proti hluku v budovách a související akustické vlastnosti stavebních výrobků – Požadavky
[3] Vyhláška 268/2009 Sb. o technických požadavcích na stavby
[4] Čechura J.: Stavební fyzika 10 – Akustika stavebních konstrukcí
skriptum ČVUT, Vydavatelství ČVUT, 1999

Partneři programu